什么是运算放大器? 负反馈系统及其效果
负反馈系统
运算放大器是具有高电压增益的放大器,但几乎不是运算放大器单体进行放大。
原因是开环增益存在偏差,或带宽较窄,难以控制放大率。
因此,一般构成负反馈电路后使用。
下图表示负反馈系统的模型。

构成负反馈电路可举出以下几个优点。
[构成负反馈电路的优点]
- 放大电路的增益固定的领域(带宽)可得到扩展
- 由于构成了负反馈电路,使运算放大器的开环增益的偏差影响变小
- 可抑制失真
1.放大电路的增益固定的领域(带宽)可得到扩展
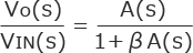
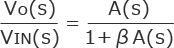
首先求出该模型的输入与输出的关系,即传递函数。

AO : 运算放大器开环增益
β : 反馈率、
1+βA(s) : 反馈量
环路增益 : βA(s)
另外如下式所示,运算放大器具有1阶滞后传递函数。

上图的频率特性用上式关系进行了解释。
可以发现,由于采用了负反馈,增益变小,变为反馈量的 1/(1+βAO),带宽从ωO扩大到了 ωO(1+βAO)。
2.由于构成了负反馈电路,使运算放大器的开环增益的偏差影响变小
在输入与输出的传递函数公式中,假设运算放大器的开环增益足够大,即AO>>1,则低频的负反馈电路的增益可近似于1/β。
即运算放大器的开环增益较大时,反馈电路的增益与运算放大器的增益无关,仅由反馈率决定。
同样,反相放大器等的放大电路的低频放大率仅由外置电阻决定。
另外,运算放大器的开环增益足够大即AO>>1 时,即便因温度特性或制造偏差而使运算放大器的开环增益多少发生变动,所受的影响也比较小。

3.可抑制失真。
下图表示含有误差要素的反馈电路。
此处将运算放大器中发生的误差要素表示为VD。
含有失真、误差电压、噪音等要素。

下式表示含有失真的传递函数。
如公式所示,增益A(s)越大 VD项越小,这样可抑制误差。

相反,构成负反馈电路可举出以下几个缺点。
[构成负反馈电路的缺点]
- 与开环增益相比,电路的放大率降低。
- 反馈使电路变得易振荡。




